來源:山東埃爾派粉體科技有限公司發布日期:2021-03-02
作為混凝土制備中的第六組分,礦物摻合料是高性能混凝土不可缺少的,如今國內外對礦物摻合料的研究已經發展到了一個較為成熟的階段,從早期僅單一強調混凝土強度的提升到近年來對混凝土高性能化的注重,礦物摻合料已經成為配制優質水泥基復合材料不可或缺的輔助膠凝材料。偏高嶺土是目前比較新型的礦物摻合料,其在混凝土中的使用還尚未普及。
偏高嶺土是一種具有超強火山灰效應的礦物摻合料,偏高嶺土中含有大量地無定型的非晶態SiO?和Al2O3,這些活性物質能夠大量地參與二次水化反應,提高混凝土的力學性能研究表明偏高嶺土隨摻量的增加,其抗壓強度均呈現明顯的增高,但偏高嶺土的摻量過高則會嚴重影響混凝土的工作性能。
此外,目前在實際生產中,已經開始大量地采用礦物摻合料的復摻,復摻礦物摻合料能夠更好地發揮各種摻合料各自的優點。本文分別研究了不同比例單摻偏高嶺土和不同比例復摻偏高嶺土、粉煤灰和礦渣粉時混凝土的抗壓強度和抗折強度,以期為偏高嶺土的實際應用提供一些參考。
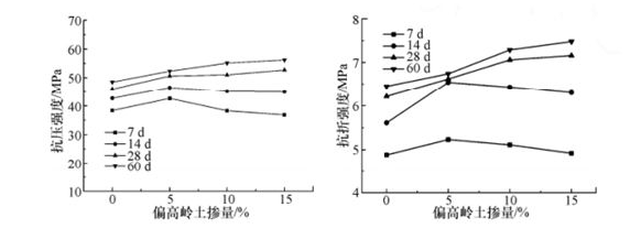
單摻偏高嶺土強度
為了更加綜合地研究偏高嶺土對于混凝土性能的影響,測試了偏高嶺土在 0、5%、10%和 15%四種摻量下對混凝土60 d 內的抗壓強度和抗折強度的影響,測試結果分別如圖 1~ 2 所示。偏高嶺土摻量為 5%時的 7 d 和 14 d 抗壓強度最高,隨摻量的增加,抗壓強度逐漸降低。當齡期超過 14 d 后,偏高嶺土混凝土的抗壓強度則是隨其摻量的增高逐漸增高。抗折強度和抗壓強度具有類似的規律,偏高嶺土摻量為 5%時其 7 d 和 14 d 的抗折強度在所有摻量中最高。

偏高嶺土對于混凝土的強度有明顯的改善效果,經過高溫煅燒而成的偏高嶺土其內部有大量的活性SiO?和Al2O3,這些活性物質能夠快速地與水泥水化產物氫氧化鈣發生二次水化反應,增加水泥混凝土的密實性,從而大幅度地改善混凝土的強度。
復摻偏高嶺土強度
采用偏高嶺土、粉煤灰和礦渣粉三種礦物摻合料進行復摻試驗。礦物摻合料的主要水化活性作用是與水泥的水化產物氫氧化鈣發生二次水化反應,其反應程度和反應速率與礦物摻合料的種類以及摻量有著直接關系。圖 3 ~ 4 分別是三種礦物摻合料在不同比例復摻下的抗壓強度和抗折強度。

偏高嶺土和粉煤灰的兩者復摻能夠顯著提高混凝土的14 d 抗壓強度,偏高嶺土、粉煤灰和礦渣粉的三者復摻能夠顯著提高混凝土的后期強度,包括其抗壓強度和抗折強度,特別是偏高嶺土、粉煤灰和礦渣粉三者摻入比例為 10% ∶10% ∶5%時。
結論
(1) 單摻偏高嶺土時,摻量 5%對于混凝土的早期強度有利; 對于混凝土的后期強度則是摻量越高,強度增長越明顯。
(2) 偏高嶺土、粉煤和礦渣粉的復摻相比于單摻 10%的偏高嶺土,強度有明顯的改善,特別是使用偏高嶺土、粉煤灰和礦渣粉三種礦物摻合料時,其摻入比例為 10% ∶10% ∶5%時為最佳。